KojicAcidSodiumSaltHydrate
Catalog No.:KS-000012C4
- CAS No.: 70145-54-9
- Molecular Formula: C6H5NaO4·xH2O
- Molecular Weight: 164.0900
MDL NO.: MFCD00191537
1-(4-Bromophenyl)-1,2,2-triphenylethylene
Catalog No.:KS-000012C3
- CAS No.: 34699-28-0
- Molecular Formula: C26H19Br
- Molecular Weight: 411.3400
MDL NO.:
2'-Chloro-4-dimethylaminoazobenzene
Catalog No.:KS-000012C2
- CAS No.: 3010-47-7
- Molecular Formula: C14H14ClN3
- Molecular Weight: 259.7400
MDL NO.: MFCD00059478
(S)-1-(Diphenylphosphino)-2-[(S)-4-isopropyloxazolin-2-yl]ferrocene
Catalog No.:KS-000012C1
- CAS No.: 163169-29-7
- Molecular Formula: C28H28FeNOP
- Molecular Weight: 481.3600
MDL NO.: MFCD15144869
6-Methoxyflavanone
Catalog No.:KS-000012C0
- CAS No.: 3034-04-6
- Molecular Formula: C16H14O3
- Molecular Weight: 254.2900
MDL NO.: MFCD00017484
1-Butyl-3-methylimidazolium Tribromide
Catalog No.:AG003E6F
- CAS No.: 820965-08-0
- Molecular Formula: C8H15Br3N2
- Molecular Weight: 378.9301
MDL NO.: MFCD22199811
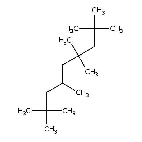
2,2,4,4,6,8,8-Heptamethylnonane
Catalog No.:KS-000012BY
- CAS No.: 4390-04-9
- Molecular Formula: C16H34
- Molecular Weight: 226.4412
MDL NO.: MFCD00008856
C60MC12
Catalog No.:AG003OMQ
- CAS No.: 403483-19-2
- Molecular Formula: C81H35N
- Molecular Weight: 1022.1513
MDL NO.:
1-Heptadecene[StandardMaterialforGC]
Catalog No.:KS-000012BW
- CAS No.: 6765-39-5
- Molecular Formula: C17H34
- Molecular Weight: 238.4600
MDL NO.: MFCD00009000
3-Ethyl-3-methylpentane
Catalog No.:KS-000012BV
- CAS No.: 1067-08-9
- Molecular Formula: C8H18
- Molecular Weight: 114.2300
MDL NO.: MFCD00048630
