1,4-Dibutoxybenzene
Catalog No.:KS-0000117J
- CAS No.: 104-36-9
- Molecular Formula: C14H22O2
- Molecular Weight: 222.3300
MDL NO.:
4-HydroxyphenylarsonicAcid
Catalog No.:KS-0000117I
- CAS No.: 98-14-6
- Molecular Formula: C6H7AsO4
- Molecular Weight: 218.0390
MDL NO.: MFCD00045707
(3-Chloropropyl)diphenylsulfoniumTetrafluoroborate
Catalog No.:KS-0000117H
- CAS No.: 33462-80-5
- Molecular Formula: C15H16BClF4S
- Molecular Weight: 350.6100
MDL NO.: MFCD00074932
2,6-Di-tert-butylnaphthalene
Catalog No.:KS-0000117G
- CAS No.: 3905-64-4
- Molecular Formula: C18H24
- Molecular Weight: 240.3900
MDL NO.: MFCD00004110
Triethoxyethylsilane
Catalog No.:KS-0000117F
- CAS No.: 78-07-9
- Molecular Formula: C8H20O3Si
- Molecular Weight: 192.3281
MDL NO.: MFCD00026754
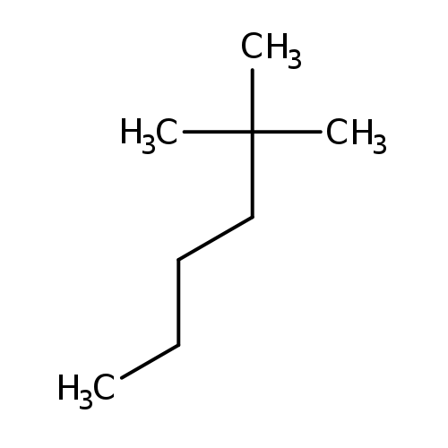
2,2-Dimethylhexane
Catalog No.:KS-0000117E
- CAS No.: 590-73-8
- Molecular Formula: C8H18
- Molecular Weight: 114.2285
MDL NO.: MFCD00009485
N,N,N'',N''-Tetrabutyldiethylenetriamine
Catalog No.:KS-0000117D
- CAS No.: 100173-92-0
- Molecular Formula: C20H45N3
- Molecular Weight: 327.5914
MDL NO.: MFCD02093504
2-(p-Toluenesulfonyl)aceticAcid
Catalog No.:KS-0000117C
- CAS No.: 3937-96-0
- Molecular Formula: C9H10O4S
- Molecular Weight: 214.2383
MDL NO.: MFCD00021764
Formoxime(10%inWater,ca.2.4mol/L)
Catalog No.:KS-0000117B
- CAS No.: 75-17-2
- Molecular Formula: CH3NO
- Molecular Weight: 45.0400
MDL NO.: MFCD00058969
CIS-2-HEXENE
Catalog No.:AG003OY1
- CAS No.: 7688-21-3
- Molecular Formula: C6H12
- Molecular Weight: 84.1595
MDL NO.: MFCD00066520
