1-[(2-Chloro-6,7-dihydrothieno[3,2-d]pyrimidin-4-yl)amino]cyclobutyl]methanol
Catalog No.:AG02EHLT
- CAS No.: 1423719-34-9
- Molecular Formula: C11H14ClN3OS
- Molecular Weight: 271.7664
MDL NO.:
3-(3-chlorophenyl)-N,N-dimethyl-3-(pyridin-2-yl)propan-1-amine
Catalog No.:AG02EHLU
- CAS No.: 32060-45-0
- Molecular Formula: C16H19ClN2
- Molecular Weight: 274.7885
MDL NO.:
PARG-IN-4
Catalog No.:AG02EI3U
- CAS No.: 2988890-20-4
- Molecular Formula: C20H25F2N7O2S2
- Molecular Weight: 497.5850
MDL NO.:
4-Methyl-N3-2-thiazolyl-1,3-benzenediamine
Catalog No.:AG02EI5G
- CAS No.: 1216317-94-0
- Molecular Formula: C10H11N3S
- Molecular Weight: 205.2794
MDL NO.:
(S)-2-((((9H-Fluoren-9-yl)methoxy)carbonyl)(methyl)amino)hex-5-ynoic acid
Catalog No.:AG02EI5O
- CAS No.: 2642725-92-4
- Molecular Formula: C22H21NO4
- Molecular Weight: 363.4064
MDL NO.:
N-(((9H-Fluoren-9-yl)methoxy)carbonyl)-O-(2-(tert-butylamino)-2-oxoethyl)-N-methyl-L-serine
Catalog No.:AG02EI5Q
- CAS No.: 2255321-29-8
- Molecular Formula: C25H30N2O6
- Molecular Weight: 454.5155
MDL NO.:
DIETHYL-L-ALANINE
Catalog No.:AG02EI5T
- CAS No.: 66249-29-4
- Molecular Formula:
- Molecular Weight: 0.0000
MDL NO.: MFCD19228922
(S)-4-(((9H-Fluoren-9-yl)methoxy)carbonyl)-1,4-oxazepane-5-carboxylic acid
Catalog No.:AG02EI5W
- CAS No.: 2639624-12-5
- Molecular Formula: C21H21NO5
- Molecular Weight: 367.3951
MDL NO.:
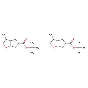
RACEMIC-(3R,3AR,6AS)-TERT-BUTYL 3-AMINOTETRAHYDRO-2H-FURO[2,3-C]PYRROLE-5(3H)-CARBOXYLATE
Catalog No.:AG02EI5Z
- CAS No.: 2177263-13-5
- Molecular Formula: C22H40N4O6
- Molecular Weight: 456.5762
MDL NO.: MFCD28390487
3-(4-fluoro-2-methylphenyl)-2,4-dimethylpentan-3-ol
Catalog No.:AG02EIUR
- CAS No.: 1878127-78-6
- Molecular Formula:
- Molecular Weight: 0.0000
MDL NO.: MFCD34857200
