1H-Imidazolium, 1-methyl-3-propyl-, tetrafluoroborate(1-)
Catalog No.:AG00IMIX
- CAS No.: 244193-48-4
- Molecular Formula: C7H13BF4N2
- Molecular Weight: 211.9961
MDL NO.: MFCD14156016
1-(2-Methoxyethyl)-1-methylpyrrolidinium Bis(fluorosulfonyl)imide
Catalog No.:AG00IMIW
- CAS No.: 1235234-47-5
- Molecular Formula: C8H18F2N2O5S2
- Molecular Weight: 324.3657
MDL NO.: MFCD30749293
Thiocyanic acid, compd. with methanamine (1:1)OTHER CA INDEX NAMES:Methanamine, thiocyanate
Catalog No.:AG00IMIV
- CAS No.: 61540-63-4
- Molecular Formula: C2H6N2S
- Molecular Weight: 90.1474
MDL NO.: MFCD30725762
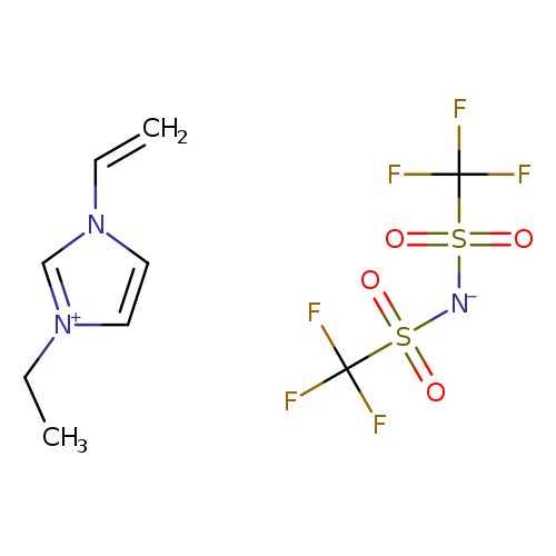
1H-Imidazolium, 1-ethenyl-3-ethyl-, salt with1,1,1-trifluoro-N-[(trifluoromethyl)sulfonyl]methanesulfonamide (1:1)OTHER CA INDEX NAMES:Methanesulfonamide, 1,1,1-trifluoro-N-[(trifluoromethyl)sulfonyl]-, ion(1-),1-ethenyl-3-ethyl-1H-imidazolium
Catalog No.:AG00IMHG
- CAS No.: 319476-28-3
- Molecular Formula: C9H11F6N3O4S2
- Molecular Weight: 403.3218
MDL NO.:
Ethyl(2-methoxyethyl)dimethylammonium Bis(fluorosulfonyl)imide
Catalog No.:AG00IMHF
- CAS No.: 1235234-35-1
- Molecular Formula: C7H18F2N2O5S2
- Molecular Weight: 312.3550
MDL NO.: MFCD30749263
Pyridinium, 1-ethyl-2-methyl-, bromide
Catalog No.:AG00IMHD
- CAS No.: 32353-50-7
- Molecular Formula: C8H12BrN
- Molecular Weight: 202.0916
MDL NO.: MFCD01208017
Yoshimulactone Green (YLG)
Catalog No.:AG00IMHC
- CAS No.: 1807549-00-3
- Molecular Formula: C27H20O7
- Molecular Weight: 456.4435
MDL NO.: MFCD29472531
1,2-Ethanediamine, dihydrobromide
Catalog No.:AG00IMHB
- CAS No.: 624-59-9
- Molecular Formula: C2H10Br2N2
- Molecular Weight: 221.9222
MDL NO.: MFCD07783256
7-Ethynylcoumarin
Catalog No.:AG00IMH9
- CAS No.: 270088-04-5
- Molecular Formula: C11H6O2
- Molecular Weight: 170.1641
MDL NO.: MFCD28668960
1,3,5-Tris[4-[(E)-2-(2,6-di-tert-butylpyrylium-4-yl)vinyl]phenyl]benzene Tetrafluoroborate
Catalog No.:AG00IMH6
- CAS No.: 2056254-18-1
- Molecular Formula: C69H81B3F12O3
- Molecular Weight: 1218.7935
MDL NO.: MFCD31618136
